上证50、沪深300等样本股今日起调整,涉及沪深北三地交易所(附名单)
12月11日,中国股票市场的主要股票指数将调整部分样本股构成,涉及沪、深、北三家证券交易所上证50股票名单。沪市方面:上证50、上证180、上证380、科创50、沪深300、中证500、中证1000等指数更换部分样本;深市方面:深证成指、创业板指、深证100等指数更换部分样本;北交所方面:符合条件的北交所证券原则上将在未来有机会纳入中证全指指数样本空间,同时北证50指数的样本股及备选名单进行调整。
南开大学金融发展研究院院长田利辉表示,指数在本次调整后,更加关注实体经济转型升级和科技创新领域上证50股票名单。 例如沪深300指数中, 信息技术行业样本(数量)净增加3只,通信服务行业样本数量净增加1只,占到了该指数样本调整比例的近30%。此外通过增加样本数量和调整样本权重,指数的代表性和稳定性也得到进一步加强。
上交所
沪市方面,上证50、上证180、上证380、科创50、沪深300、中证500、中证1000等指数更换部分样本上证50股票名单。
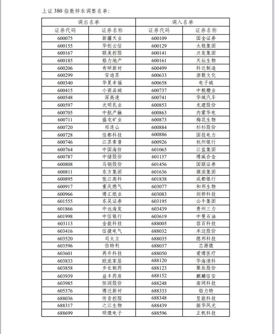
上交所公告显示,本次样本调整后,主要指数样本更加聚焦实体经济转型升级与科技创新领域,信息技术、工业、通信服务等行业样本数量有所提升,指数代表性进一步增强上证50股票名单。


展开全文

深交所
深市方面,深证成指、创业板指、深证100等指数更换部分样本上证50股票名单。
深交所公告显示,本次调整后,深证成指作为中国多层次资本市场中制造业成色最高的标尺类指数,进一步反映了资本市场服务经济高质量发展成效;深市核心指数样本股中先进制造、数字经济、绿色低碳等重点领域上市公司的比重稳中有升,市场表征引领功能凸显上证50股票名单。


北交所
北交所方面,符合条件的北交所证券原则上将在未来有机会纳入中证全指指数样本空间,同时北证50指数的样本股及备选名单进行调整上证50股票名单。
本次符合条件的北交所证券原则上有机会纳入中证全指指数样本空间,这使得包含北交所证券的指数,从现阶段只有北证50一只,未来有望增加,这也说明北交所的优质上市公司得到更广泛认可,同时也代表着北交所与沪深市场的板块联动在不断加强上证50股票名单。
开源证券北交所研究中心总经理诸海滨表示,这对指数而言,可以进一步提升指数本身的市场代表性上证50股票名单。可以提升投资者对北交所的整体认识和关注度,进一步引导市场资金积极参与北交所投资。


香港致富证券首席经济学家肇越表示,股票指数的编制通常要求具有代表性、透明性、可投资性和稳定性上证50股票名单。在A股市场,根据指数的编制规则,一般是每年5月和11月的下旬审核指数样本,6月和12月的第二个星期五后的下一交易日进行成份股调整。在指数成份股的选择上,通常会考虑这样几个主要因素:第一个因素就是市值规模;第二个因素是流动性,也就是股票交易情况;第三个是上市公司的财务状况,第四个是考虑指数的行业分布,要相对均衡,具有代表性。第五个因素是考虑上市公司,是否受到过法规处罚。这些因素综合考虑来确定成份股选择。
华福证券首席经济学家燕翔指出,丰富多样的指数体系,能更好地吸引长期配置资金入市上证50股票名单。当前我国已有多条聚焦科技创新、专精特新、高端制造等新兴产业板块的指数,产品跟踪规模也在日益增长,指数体系的丰富对于吸引社会资金更多流向国家重点支持领域具有重要意义。
来源:综合自央视新闻、财联社
更多内容请下载21财经APP









评论